به طور معمول قیمت تئوریک سهم پس از افزایش سرمایه و یا توزیع سود نقدی در زمان مجمع کاهش می یابد. علت اصلی تغییرات قیمت سهم در زمان بازگشایی، ثابت ماندن ثروت سهامداران پس از افزایش سرمایه و سود نقدی می باشد. موضوع افزایش سرمایه در مجمع عمومی فوق العاده و موضوع سود نقدی در مجمع عمومی عادی سالیانه بررسی می شود. مجمع عمومی عادی سالیانه با هدف رسیدگی به صورت های مالی شرکت، رسیدگی به گزارش مدیران و بازرسان شرکت و همچنین تصویب میزان سود نقدی تقسیمی بین سهام داران و مجمع عمومی فوق العاده، با موضوعاتی مانند تغییرات سرمایه، تغییر اساسنامه شرکت، انحلال شرکت و… تشکیل می شود. در ادامه فرمول تعدیل قیمت سهام ارائه می شود، اما پیش از انواع افزایش سرمایه را به صورت مختصر مرور خواهیم کرد.
افزایش سرمایه از یکی از چهار محل زیر می تواند شکل بگیرد:
۱- از محل آورده نقدی و مطالبات حال شده سهامداران
افزایش سرمایه در این روش، نیازمند تأمین منابع جدید از سوی سهامداران فعلی شرکت است، لذا به همین دلیل شرکت حق استفاده و حضور در آن را ابتدا به سهامداران شرکت می دهد. این حق، تحت عنوان اوراقی به نام حق تقدم در اختیار سهامداران فعلی قرار می گیرد. سهامداران ظرف مهلت مقرر جهت پذیره نویسی این اوراق، می توانند درصورت تمایل به استفاده از این حق، مبلغ درخواستی شرکت به ازای هر سهم که معمولا در ایران ۱۰۰۰ ریال می باشد را پرداخت کنند تا حق تقدم آن ها پس از طی شدن مراحل افزایش سرمایه به سهم عادی تبدیل گردد یا این که اگر نخواهند از حق تقدم های خود استفاده کنند، این قابلیت وجود دارد که این حق تقدم ها را درست همچون یک سهم در بورس به فروش برسانند.
۲- از محل سود انباشته (سهام جایزه)
شرکت ها بخشی از سود خالص خود در پایان سال مالی را به عنوان سود نقدی، به سهامداران پرداخت می کنند و بخش دیگری را در شرکت نگه می دارند که در حساب سود انباشته در قسمت حقوق صاحبان سهام قرار می گیرد. در مواقعی که شرکت سود انباشته مناسبی دارد، می تواند افزایش سرمایه خود را از این روش انجام بدهد و از این طریق منابع جدید مورد نیاز خود را تامین کند. در این روش افزایش سرمایه، درصد مالکیت سهامدار در شرکت تغییری پیدا نمی کند. یعنی به همان نسبت که سرمایه شرکت زیاد می شود تعداد سهام نیز افزایش پیدا می کند. درواقع به همان نسبت که تعداد سهام زیاد می شود، قیمت آن کاهش پیدا می کند که در ادامه چگونگی تعدیل این کاهش قیمت ذکر خواهد شد.
۳- صرف سهام
در این روش، سهام به مبلغی بیش از قیمت اسمی و از طریق پذیره نویسی به فروش رسیده و تفاوت حاصل از قیمت فروش و قیمت اسمی سهام، به حساب اندوخته منتقل و یا در ازای آن سهام جدید، به سهامداران قبلی داده می شود. در این روش، به جای انتشار سهام عادی با ارزش اسمی، پذیره نویسی سهام جدید ناشی از افزایش سرمایه به قیمت بازار انجام می گیرد. منظور از صرف سهام، اضافه ارزش سهام یعنی ما به التفاوت ارزش بازاری و اسمی سهام می باشد.
۴- از محل تجدید ارزیابی دارایی ها
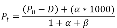
در این روش ارزش دارایی های ثابت مشهود در ترازنامه به روز می شود، طبق معادله اساسی حسابداری (دارایی+بدهی= سرمایه) با افزایش یک طرف معادله طرف دیگر نیز باید به همان تناسب تغییر کند، لذا با افزایش دارایی ها، سرمایه نیز افزایش می یابد. به لحاظ تاثیر در سرمایه سهامداران نیز همانند روش سود انباشته بوده، پولی به شرکت وارد نشده و تغییری در دارایی های سهامداران رخ نمی دهد. در فرمول تعدیل قیمت سهام تاثیر همزمان تمامی فاکتورهای موثر بر تعدیل قیمت سهام که تا اینجا توضیح داده شد، آورده شده است، بدیهی است در صورتی که هریک از این موارد تغییری نکرده باشد مقدار آن متغیر خاص صفر خواهد بود، برای مثال اگر هیچ گونه افزایش سرمایه ای رخ نداده باشد، قیمت تئوریک سهم تنها از کاهش مقداری مساوی با تقسیم سود نقدی تاثیر خواهد گرفت، فرمول تعدیل قیمت سهام به شرح زیر است:

- در فرمول فوق:
- Pt=قیمت در زمان بازگشایی
- P0=قیمت پایانی سهام قبل توقف نماد
- D=درآمد نقدی تقسیم شده در مجمع عمومی عادی سالیانه
- a=درصد افزایش سرمایه از محل آورده نقدی و مطالبات
- B=درصد افزایش سرمایه از محل سود انباشته
حال اگر نمادی که افزایش سرمایه داشته است با قیمت تعادلی (Adjusted Price) باز شود، اثری از بابت تغییر قیمت در شاخص نخواهیم داشت. بدیهی است اگر نماد مذکور با قیمتی بالاتر از قیمت تعادلی باز شود، افزایش شاخص و در صورتی که با قیمتی پایین تر از قیمت تعادلی باز شود کاهش شاخص خواهیم داشت. فرمول ارائه شده برای محاسبه “قیمت تئوریک” سهم پس از افزایش سرمایه و پرداخت سود نقدی است و پیش بینی می شود که سهم پس از این موارد در محدوده قیمت های به دست آمده بازگشایی شود، اگرچه با توجه به روند عرضه و تقاضا در بازار ممکن است قیمت جدید سهم بیشتر یا کمتر از قیمت های به دست آمده معامله شود.






نظر شما درباره این مقاله چیست؟
0 نفر به این مقاله میانگین امتیاز0 دادهاند.
شما چه امتیازی میدهید؟